faltac
||||||||
Guten Abend,
da ich hier zu diesem Thema noch nichts gefunden habe, wollte ich mal meine Erfahrungen mitteilen.

So wollte ich es immer haben, hatte aber keine Lust da ewig darauf zu warten und die Preise im Netz und diversen Druckereien waren mir zu teuer.
Dann hatte ich noch überlegt, sowas per Wasserstrahl schneiden zu lassen.
Später kam mir dann die Idee, für die Löcher einfach bei Ebay ein Ø 11mm Locheisen zu kaufen.
Locheisen
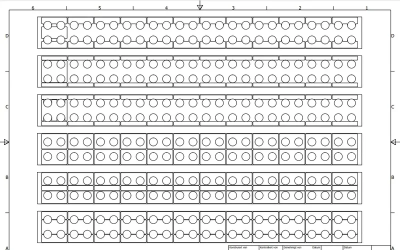
Die Behringer PX3000 hat von links nach rechts 2 mal 12 Anschlüsse.
Also die Strecke vom ersten Lochbogen links bis zum zwölften Lochbogen rechts messen.
Dann den Durchmesser einer Buchse abziehen und die Strecke durch elf Zwischenräume teilen.
damit hat man die genaue Teilung.
In der höhe ist das nicht so tragisch, wenn da ein halber mm falsch ist. Aber in der Länge addiert sich das dann auf.
Aber die Höhe lässt sich auch mit dem Messschieber gut ermitteln.
Wenn Das Layout und die Farben wie gewünscht sind, kann gedruckt werden.
Diagonal passt der Aufkleber auf ein DIN A3 Blatt.
Das Papier wird auf doppelseitiges Klebeband geklebt.
Dann von vorne transparentes Paketband.
Zum Festreiben ein Blatt darüberlegen damit keine Kratzer in das transparente Klebeband kommen.
Dann mit einem geraden Gegenstand und einem Cutter die drei Schichten gemeinsam in Form schneiden.
Dann mit dem Locheisen und einem Hammer die Löcher ausstanzen.
Hilfreich ist dann, wenn die Stelle zum ausstanzen ca. 0.75mm größer ist, als das Locheisen.
Das hilft dann beim zentrieren.
Als Unterlage einen nicht all zu harten Kunststoff nehmen.
Und wer wegen dem Krach keinen anderen Krach mit seiner Frau haben möchte, macht das besser im Garten.
Vor dem aufkleben einmal auf die Patchbay auflegen um zu schauen, ob alles gut passt.
dann an einer Stelle die Folie des doppelseitigen Klebebands einritzen und von dort in beide Richtungen verkleben.
Ich habe nun auf Neutrik umgestellt. da gibt es DXF-Dateien mit den richtigen Abständen.
In wenigen Tagen kommt die dritte Patchbay.
bevor ich mindestens 85€ für die drei Patchbays bezahle und das Design doch selbst machen muss, durcke ich sie mir lieber aus und liege dann bei 2€ für jedes Label.
da ich hier zu diesem Thema noch nichts gefunden habe, wollte ich mal meine Erfahrungen mitteilen.

So wollte ich es immer haben, hatte aber keine Lust da ewig darauf zu warten und die Preise im Netz und diversen Druckereien waren mir zu teuer.
Dann hatte ich noch überlegt, sowas per Wasserstrahl schneiden zu lassen.
Später kam mir dann die Idee, für die Löcher einfach bei Ebay ein Ø 11mm Locheisen zu kaufen.
Locheisen
Die Behringer PX3000 hat von links nach rechts 2 mal 12 Anschlüsse.
Also die Strecke vom ersten Lochbogen links bis zum zwölften Lochbogen rechts messen.
Dann den Durchmesser einer Buchse abziehen und die Strecke durch elf Zwischenräume teilen.
damit hat man die genaue Teilung.
In der höhe ist das nicht so tragisch, wenn da ein halber mm falsch ist. Aber in der Länge addiert sich das dann auf.
Aber die Höhe lässt sich auch mit dem Messschieber gut ermitteln.
Wenn Das Layout und die Farben wie gewünscht sind, kann gedruckt werden.
Diagonal passt der Aufkleber auf ein DIN A3 Blatt.
Das Papier wird auf doppelseitiges Klebeband geklebt.
Dann von vorne transparentes Paketband.
Zum Festreiben ein Blatt darüberlegen damit keine Kratzer in das transparente Klebeband kommen.
Dann mit einem geraden Gegenstand und einem Cutter die drei Schichten gemeinsam in Form schneiden.
Dann mit dem Locheisen und einem Hammer die Löcher ausstanzen.
Hilfreich ist dann, wenn die Stelle zum ausstanzen ca. 0.75mm größer ist, als das Locheisen.
Das hilft dann beim zentrieren.
Als Unterlage einen nicht all zu harten Kunststoff nehmen.
Und wer wegen dem Krach keinen anderen Krach mit seiner Frau haben möchte, macht das besser im Garten.
Vor dem aufkleben einmal auf die Patchbay auflegen um zu schauen, ob alles gut passt.
dann an einer Stelle die Folie des doppelseitigen Klebebands einritzen und von dort in beide Richtungen verkleben.
Ich habe nun auf Neutrik umgestellt. da gibt es DXF-Dateien mit den richtigen Abständen.
In wenigen Tagen kommt die dritte Patchbay.
bevor ich mindestens 85€ für die drei Patchbays bezahle und das Design doch selbst machen muss, durcke ich sie mir lieber aus und liege dann bei 2€ für jedes Label.
Zuletzt bearbeitet:

